摘要
在天然产物中,有 >7% 的化合物具有双边对称性,其中 17% 在生源合成路径中涉及对称性的二聚化过程,从而表现出某种形式的对称性。该种双边对称的结构特点引起了全合成化学家的广泛关注,相继开发出了 4 种经典的合成方法以高效解决单体到二聚体的双边对称性合成的难题。4 种经典合成方法包含:大环环化、C-C 键偶联、环加成反应和共轭加成反应。本文将着重介绍代表性双边对称的天然产物的全合成途径,剖析引入双边对称性的方法。

大环环化
在众多具有大环结构特征的双边对称性的天然产物中,如何高效合成大环结构从而实现天然产物对称性的二聚化过程成为有机合成化学家们关注的焦点。该策略主要包含:内酯化,烯烃复分解和金属参与的偶联反应。
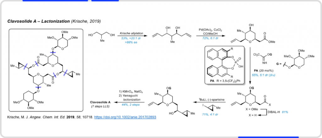
2019 年,Michael J. Krische 教授团队利用 Yamaguchi 内酯化反应成功实现了单体二聚化过程,以 7 步反应高效合成了天然产物 Clavosolide A(图1)。

2016 年,Michael J. Krische 教授团队设计利用烯烃复分解反应实现双边对称的天然产物 Swinholide A 中 40 元环的构建。其烯烃复分解所需要的单体化合物可以通过化合物 A 和 B 快速构建,而化合物 A 和 B 可以通过简单的化学原料合成得到(图2)。

在具体的合成路线中,作者分别合成化合物 A 和 B,通过分子间的 Aldol 反应形成二聚前体,最后通过分子间的烯烃复分解反应构建了 Swinholide A 中的 40 元环(图3)。

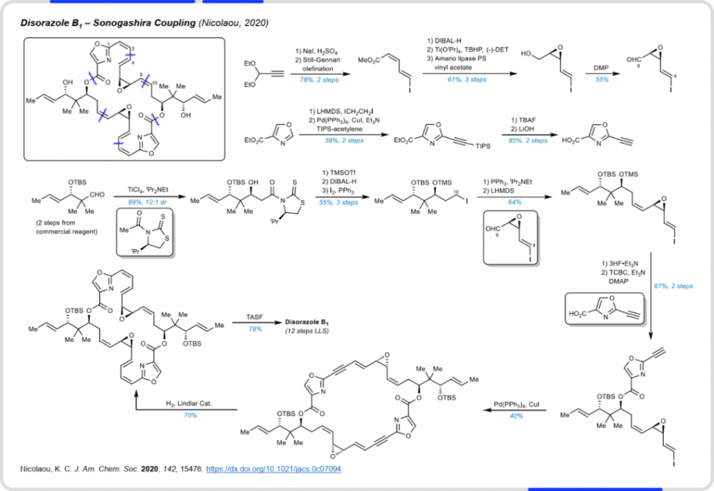
2020 年,K. C. Nicolaou 教授团队利用 Sonogashira 偶联反应成功构建了双边对称的天然产物 Disorazole B1 中的 30 元环。在具体的合成路线中,两个单体中的炔烃和烯基碘代物首尾相连,以 40% 的收率获得目标大环产物(图4)。

C-C键偶联
利用 C-C 键偶联策略实现单体的二聚以及多聚的策略实现天然产物的高效构建主要包含:还原偶联,氧化偶联和金属催化的偶联反应。
在合成双边二聚天然产物 Chaetocin A 及其类似物 11,11’-dideoxyverticillin A 时,M. Movassaghi 小组和 M.Yoshida 小组都采用了烷基溴代物还原条件下形成碳自由基,随后两单体自由基偶联的方式实现二聚化(图5)。

及11,11’-dideoxyverticillin A的全合成
2011 年,S. B. Herzon 教授课题组利用偶氮化合物与金属形成卡宾中间体,两单体之间通过氧化偶联的方式实现二聚化过程,从而实现天然产物 Lomaiviticin aglycon 的全合成(图6)。

J. A. Porco 教授课题组在 2015 年先后利用铜催化的 Stille 偶联和钯催化的 Suzuki-Miyaura 偶联实现了二聚体天然产物 Rugulotrosin A 和 Penicillixanthone A 的全合成(图7)。

和Penicillixanthone A的全合成
环加成反应
赵刚教授课题组与彭小水研究团队先后利用环加成反应策略合成了乌药烷型倍半萜化合物。赵刚课题组利用光催化下单体 Chloranthalactone A 的 [2+2] 环加成反应快速构建了双边对称天然产物 Chloranthalactone A(图8)。在形式上对称的二聚体天然产物 Shizukaol A和Shizukaol E 通过两个相似的单体通过加热条件下的 [4+2] 环加成反应实现(图9)。


共轭加成反应
在天然产物全合成中,共轭加成反应是构建复杂结构的良好选择。同时,在实现单体化合物向二聚以及多聚反应时,共轭加成反应也是常用的方法之一。
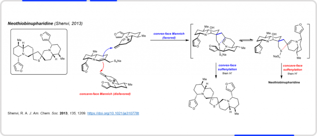
2013 年,R. A. Shenvi 课题组利用共轭加成的策略,以 8 步反应高效地实现了天然产物 Neothiobinupharidine 的全合成。作者利用 Polonovski 反应使得两分子的氮氧化物单体聚合,从而高效实现了天然产物的全合成(图10)。Polonovski 反应下,两分子氮氧化物单体聚合的机理见图11。


2017 年,唐叶峰教授团队利用共轭加成的策略以 9 步反应成功实现了双边对称二聚体天然产物 Homodimericin A 的全合成(图12)。

结束语
以上4种方法共同实现了双边对称天然产物的快速构建。除了在合成上的巨大突破,该领域还存在更多的机会等待开发。首先,需要开发更先进的分离纯化和鉴定天然产物结构的方法与技术,以便人类能够掌握更多具有生物活性的分子数据库。其次,需要开发更简洁、高效的合成方法,并将这些方案应用于双边对称药物的合成。最后,期待有机合成化学家、生物学家和药物化学家更加紧密地协作,揭示双边对称天然产物的生理药理学活性,为创新药物的开发提供全新的思路。
作者介绍:
张健,东京工业大学理学院化学系在读理学博士,获日本政府奖学金,从事新方法学新策略的开发和天然产物全合成研究工作。